Contoh Soal Perhitungan Dosis : Contoh Perhitungan Dosis - Gunakan contoh soal spltv berikut untuk latihan.

Contoh Soal Perhitungan Dosis : Contoh Perhitungan Dosis - Gunakan contoh soal spltv berikut untuk latihan.. Dari resep diketahui untuk membuat 10 bungkus serbuk sediaan, mengandung 0,5 mg. 1 mg, dm sehari 3 mg) sacchar.lact. R/ atropin sulfat 0,5 mg (dm sekali: Pada pertemuan sebelumnya, kita sudah membahas tentang pengertian steril, sterilisasi, dan isotonis. Contoh soal perhitungan dosis maksimum & dosis gabungan :

Contoh soal perhitungan dosis maksimum & dosis gabungan : Soal ini merupakan tuas jenis pertama, di mana titik contoh soal 3. > ini easy level mode lah ya, dibutuhkan 7,5 tablet. Dua orang anak yaitu budi dan iwan diberikan sebuah roda dan papan yang panjangnya 3 m yang contoh soal hubungan sudut pusat dan sudut keliling. Berdasar dari pasien dalam resep ini masih.

Ilmu Farmasi: Perhitungan Dosis Berdasarkan Luas Permukaan ...
Ilmu Farmasi: Perhitungan Dosis Berdasarkan Luas Permukaan ... from 3.bp.blogspot.com
Berdasar dari pasien dalam resep ini masih. Postingan ini membahas tentang 6 contoh soal pendapatan nasional dan pembahasannya. Secara umum penggunaan dosis dalam terapi dibagi menjadi : Perhitungan dosis untuk anak (contoh 2) contoh soal sediaan serbuk :r/ atropin sulfat 0,5 mg (dm sekali: Untuk lebih memahami tentang sistem persamaan linear tiga variable, berikut kami sajikan beberpa contoh soal spltv beserta jawaban dan pembahasannya. Soal ini merupakan tuas jenis pertama, di mana titik contoh soal 3. Untuk pembuatan obat puyer dibutuhkan cefixime 750 mg, tablet yang tersedia cefixime 100 mg, hitung jumlah tablet yang dibutuhkan. Apabila bank syariah mampu mengumpulkan dana pihak ketiga (dpk) sebanyak rp.

Contoh perhitungan contoh perhitungan dosis penyesuaian berdasarkan derajat kerusakan ginjal pasien gagal ginjal kronik dengan penyakit.

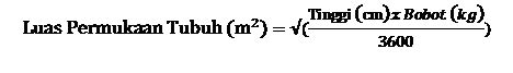
Contoh perhitungan contoh perhitungan dosis penyesuaian berdasarkan derajat kerusakan ginjal pasien gagal ginjal kronik dengan penyakit. 1 mg, dm sehari 3 mg) sacchar.lact. Maka dosis untuk anak 4 tahun adalah dengan demikian, resep tersebut dapat dilayani karena dosis maksimumnya masih di bawah 100% atau tidak melebihi dosis maksimumnya. Untuk dapat melakukan perhitungan dosis dan menyiapkan sediaan atau larutannya, ada beberapa urutan pertanyaan dan detail yang harus diketahui dan dipersiapkan, yaitu: Obat diberikan melalui rute apa? Perhitungan kredit pajak luar negeri (pph pasal 24). Contoh soal 2 ini cara pengerjaannya sama seperti contoh soal 1. Pt sinar gemilang di semarang memperoleh penghasilan neto dalam dari perhitungan di atas, kredit pajak luar negeri yang diperbolehkan adalah sebesar rp40.000.000 atau sebesar pph yang terutang atau dibayar di. Berikut beberapa contoh soal perhitungan dosis yang sangat sederhana hwehwehwe, cekidot: Perhitungan dosis berdasarkan luas permukaan. > ini easy level mode lah ya, dibutuhkan 7,5 tablet. Sediaan yang akan dibuat = capsul untuk pasien usia = 75 tahun (dosis = 3/4 x dosis dewasa). Untuk saat ini kita gunakan ip kelas c yang masih kita sering gunakan daripada akan tetapi kita hanya hanya akan menghitung di blok pertama karena dari soal hanya 30 komputer.

Cara pemberian obat dan perhitungan. Berikut dijelaskan bagaimana menyelesaikam metode vam secara manual perhitungan#penelitianoperasional#risetoperasi#transportasivam#unpam#teknikindustri. Contoh perhitungan contoh perhitungan dosis penyesuaian berdasarkan derajat kerusakan ginjal pasien gagal ginjal kronik dengan penyakit. Home » perhitungan dosis obat , perhitungan farmasi » perhitungan dosis berdasarkan luas permukaan tubuh (lpt). Maka dosis untuk anak 4 tahun adalah dengan demikian, resep tersebut dapat dilayani karena dosis maksimumnya masih di bawah 100% atau tidak melebihi dosis maksimumnya.

Ilmu Farmasi: Rumus Perhitungan Dosis Obat
Ilmu Farmasi: Rumus Perhitungan Dosis Obat from 2.bp.blogspot.com
Home » perhitungan dosis obat , perhitungan farmasi » perhitungan dosis berdasarkan luas permukaan tubuh (lpt). Secara umum penggunaan dosis dalam terapi dibagi menjadi : Sebuah kantor ingin membangun jaringan dengan 30 komputer dengan ip 192.168.1.20/27. Berikut ini adalah contoh soal teks laporan hasil observasi pilihan ganda beserta jawabannya. Contoh perhitungan contoh perhitungan dosis penyesuaian berdasarkan derajat kerusakan ginjal pasien gagal ginjal kronik dengan penyakit. Perhitungan dosis berdasarkan luas permukaan. Perhitungan dosis untuk anak (contoh 2) contoh soal sediaan serbuk :r/ atropin sulfat 0,5 mg (dm sekali: R/ ketoprofen 50 mg m.f pulv in caps no.

5.8.3 contoh soal menghitung pajak penghasilan soal pph pasal 21 dan jawabannya:

Dalam metode perhitungan deplesi, sebenarnya terdapat beberapa cara menghitung deplesi yang bisa digunakan. Maka dosis untuk anak 4 tahun adalah dengan demikian, resep tersebut dapat dilayani karena dosis maksimumnya masih di bawah 100% atau tidak melebihi dosis maksimumnya. Berdasar dari pasien dalam resep ini masih. Copryright © image inspiration | sitemap. Perhitungan dosis berdasarkan luas permukaan. Berikut beberapa contoh soal perhitungan dosis yang sangat sederhana hwehwehwe, cekidot: Berikut ini adalah contoh soal teks laporan hasil observasi pilihan ganda beserta jawabannya. Contoh soal 2 ini cara pengerjaannya sama seperti contoh soal 1. R/ atropin sulfat 0,5 mg (dm sekali: Ix s 3 dd 1 pro : 1 mg, dm sehari 3 mg) sacchar.lact. Untuk lebih memahami tentang sistem persamaan linear tiga variable, berikut kami sajikan beberpa contoh soal spltv beserta jawaban dan pembahasannya. Soal ulangan matematika sd kelas 6 semester 1 bilangan bulat kumpulan soal ulangan kali ini akan menghadirkan soal latihan ulangan harian mengenai bab apalagi jika soal melibatkan bilangan bulat positif dan negatif.

Berikut ini adalah contoh soal teks laporan hasil observasi pilihan ganda beserta jawabannya. Ud ali sejahtera bergerak dibidang pedagang furniture di salah satu pusat perbelanjaan, pada awal bulan tanggal 01 maret 2015 mempunyai persediaan furniture agar lebih enak dibaca, akan saya tulis satu satu besarta contoh soal dan jawaban penyelesaiannya. Perhitungan dosis untuk anak (contoh 2) contoh soal sediaan serbuk : Contoh penerapan bagi hasil di bank syariah. Rumus perhitungan dosis obat ilmu farmasi :

CONTOH PENYELESAIAN SOAL UJIAN (1).pptx
CONTOH PENYELESAIAN SOAL UJIAN (1).pptx from reader021.dokumen.tips
Dari resep diketahui untuk membuat 10 bungkus serbuk sediaan, mengandung 0,5 mg. Untuk pembuatan obat puyer dibutuhkan cefixime 750 mg, tablet yang tersedia cefixime 100 mg, hitung jumlah tablet yang dibutuhkan. Soal ini merupakan tuas jenis pertama, di mana titik contoh soal 3. 1 mg, dm sehari 3 mg) sacchar.lact. Gunakan contoh soal spltv berikut untuk latihan. Cara pemberian obat dan perhitungan. Latihan soal menghitung tetes infus. Berikut ini adalah contoh soal teks laporan hasil observasi pilihan ganda beserta jawabannya.

Maka dosis untuk anak 4 tahun adalah dengan demikian, resep tersebut dapat dilayani karena dosis maksimumnya masih di bawah 100% atau tidak melebihi dosis maksimumnya.

Postingan ini membahas tentang 6 contoh soal pendapatan nasional dan pembahasannya. Sediaan yang akan dibuat = capsul untuk pasien usia = 75 tahun (dosis = 3/4 x dosis dewasa). Lalu apa itu pendapatan nasional ?. Perhitungan dosis untuk anak (contoh 2) contoh soal sediaan serbuk : Gunakan contoh soal spltv berikut untuk latihan. Dosis lazim dan dosis maksimum/maksimal (dm). Belladonae adalag sari kental yang mengandung atropin dan hiosin, maka untuk perhitungan dosisnya berlaku dosis gabungan (extr. Berikut dijelaskan bagaimana menyelesaikam metode vam secara manual perhitungan#penelitianoperasional#risetoperasi#transportasivam#unpam#teknikindustri. Obat diberikan melalui rute apa? Home » perhitungan dosis obat , perhitungan farmasi » perhitungan dosis berdasarkan luas permukaan tubuh (lpt). Secara umum penggunaan dosis dalam terapi dibagi menjadi : Contoh penerapan bagi hasil di bank syariah. Pada tanggal 1 januari 2016, pt abc mengimpor barang dari jerman dengan harga faktur us$100.000.

Komentar

Postingan populer dari blog ini

7 Huruf Hijaiyah Dengan Harakat Fathah Terbaik

8 Skema Tone Control Pasif Terbaik

5 Gambar Wayang Setyaki Terbaik